할인율은 얼마로 하고, 가치평가는 어떻게 해야하는 거지?
지금까지 읽어온 투자와 관련된 책들, 유튜브 영상들을 통해서도
해결되지 않는 질문들이 어느정도 해결되는 기회가 되는 독서였다.
먼저, 투자란 '장래에 더 많은 구매력을 위해 현재의 구매력을 남에게 이전하는 행위'이다.
투자에 있어서 위험이란 주가의 하락이 아니라 '영구적인 구매력 손실 가능성' 이라고 할 수 있다.
할인율은 투자자의 기회비용이다. 즉, 내가 다른걸 포기하고 이 투자를 선택함으로써
최소한 받고 싶은 수익률.
'요구 수익률'이라고 표현하면 좋을 것 같다.
CAPM에 따라서 할인율을 무위험 이자율(국채 등) + 리스크 프리미엄 으로 하는 경우가 있는데
이는 잘못된 방법이며, 그저 내가 원하는 수익률을 할인율로 정하면 된다.
저자도 그렇게 하고 있고, 워런버핏도 그렇게 하고 있다.
나는 10%로 정했다.
우리가 일반적으로 원하는 수익률은 기대수익률 이고 '갭 수익률'이라고 할 수 있으며
적정가치와 현재가격의 차이에서 오는 수익률이다.
할인율과 기대수익률(갭수익률)은 서로 트레이드 오프 관계이며,
할인율이 낮아지면 적정 PBR이 상승하고
높은 PBR을 정당화 하는 방법이 될 수 있다.
할인율을 높이면 적정 PBR이 감소하게 된다.
r= 할인율 , ROE = 자기자본수익률(기업의 초과 수익률), N= 해당 ROE의 지속기간
이라고 할 때



이다.

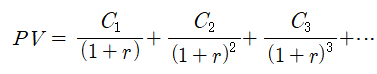
기업의 현재가치는 미래의 현금흐름을 현재의 가치로 할인한 것들의 총합이라고할 수 있고
성장률이 얼마가 되었던 예상한대로 1년뒤에 성장을 한다면
기업의 가치는 정확히 '할인율'만큼 가치가 상승한다.


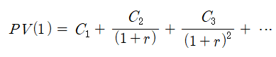
1년 뒤의 현금흐름에서는 C1은 현금으로 들어왔으니 확인할 필요가 없고
T(1) 시점에서 1년 후의 현금흐름인 C2를 1+r로 나누고 2년 후의 현금흐름인 C3를 (1+r)^2로
나누게 된다.
결국 PV(1)은 PV(0)에서 1+r을 곱한 것이다.
모든 예측이 들어맞아서 예측대로 성장을 해서 예측한대로 현금흐름이 발생을 했다면
기업의 가치는 성장률에 맞춰서 가치가 상승하는 것이 아니라 할인율만큼 늘어난다.
즉, 적정가치에 주식을 사서 장기 보유하면 투자자의 수익률은 "할인율"만큼이다.
'싸다' 라는 것의 정의도 단순한 숫자가 아니라 '현재의 가격에 구매했을 때 장기간 기대할 수 있는
연평균 수익률이 높다.'가 되어야 할 것이다.
가치분석에서 가장 중요한 것은
기업의 '초과 수익폭', '초과 수익폭의 지속가능기간' 이다.
기업이 장기간 낼 수 있는 ROE, 지속가능기간을 추정해보고,
이를 통해서 적정 PBR을 추정한 후 자기자본을 곱해서 시가총액을 추정해보자.
이것을 현재의 실제 시가총액과 비교하면서
시장이 그 기업을 바라보는 관점이 내 기준에서 고평가인지 저평가인지
시장이 어떤 기업을 고평가하는지 알아 보는 것도 상당한 공부가 될 것이다.
우리는 ①현장지식 확보 ②기업을 묘사하는 형용사 찾기 를 통해
기업을 더 깊이 이해하고 기업을 믿을 수 있는가에 대해
끊임없이 질문하고 결론을 내려야 한다.
이것이 가치분석에 기반한 투자라고 할 수 있다.
메모하면서 책을 여러번 다시 읽으며 완벽히 이해하려고 노력했는데
글로 다시 정리하려고 하니 막히는 부분이 많았다.
아직 완벽히 체화하진 못한 것 같다.
그래도 다음과 같은 결론은 도출했다.
기업을 분석할 때
할인율을 10% 기준으로 정하고 해당 기업의 ROE와 그것의 지속기간을 추정해보면서
시장의 평가와 나의 평가와의 간극을 통해서 수익을 창출하는 것이
앞으로 평생 갈고 닦아야할 숙제인 것 같다.
'독서' 카테고리의 다른 글
| [독서] 100 Baggers - 크리스토퍼 메이어 지음/ 송선재 옮김 (3) | 2025.10.05 |
|---|---|
| [독서] The big cycle - How countries go broke -4 (7) | 2025.08.03 |
| [독서] The big cycle- How countries go broke -3 (9) | 2025.08.02 |
| [독서] The big cycle- How countries go broke -2 (6) | 2025.08.01 |
| [독서] The big cycle- How countries go broke -1 (4) | 2025.07.31 |